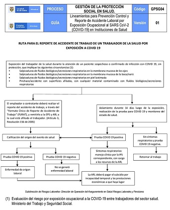
GUIA LINEAMIENTOS PARA PREVENCION CONTROL Y REPORTE DE ACCIDENTE LABORAL EXPOSICION OCUPACIONAL COVID Deja un comentario / Comunicados / Por admin